Tuesday, June 7, 2011

Small Grain Virtual Field Day

Because of the wet weather this spring, we have found that many of our participants and speakers were still working on corn and soybean issues that conflicted with our annual small grain field day.  As a result, we decided to cancel the field day and conduct a "Virtual Small Grain Field Day" and post some of what would have been the potential highlights on the day here on my new blog.  This will give me an opportunity to practice some of my new skills in blogging as well and give me a place to share some of our field observations and trials.  Thanks to my colleagues who provided some material from their stations to share with us for this virtual field day.  Take time to scroll back through previous blog posts to see some of the things we had to share on the field day.

Small Grain Diseases

Diseases of small grains—Alyssa Collins, Director SE Ag Research & Extension Center
Compared to last year’s spring, we have had quite a soaker in 2011, resulting in near perfect conditions for the development of several grain diseases.  We can expect to see plenty of leaf spots, glume blotch and very likely head scab as the wheat and barley come to maturity. 
In last year’s on-farm wheat fungicide trials we examined the levels of control provided by some of the more popular products in combination and at various timings.  We looked at the relative efficacy of a strobilurin product and two combination strobilurin/triazole products at an early timing (Feekes 5, before jointing), a late timing (Feekes 9-10, boot), and application at both times.  In 2010, all treatments that included a late-applied fungicide yielded significantly better and had less leaf disease severity than the untreated control and the early-applied treatments (Table 1).
This year’s on-farm trials included products that have activity on head scab as well as products for leaf diseases.  Ratings are being conducted currently to observe the efficacy and yield impacts of the use of these products in the high disease pressure conditions that we have experienced in 2011.
(Click on table below to open a larger version in a separate window)

Saturday, June 4, 2011

Controlling Hairy Vetch in Wheat

Benjamin Crockett, Graduate Student, Crop and Soil Sciences
Hairy vetch is an important legume cover crop option for organic and conventional farmers in the Northeast. There is considerable interest in hairy vetch as a cover crop for benefits including nitrogen fixation, weed suppression, and erosion control. Adoption of hairy vetch by some producers has been limited due to negative farmer experience and the perception that it can be a problematic volunteer weed issue in winter cereals later in rotation. Weediness can occur with hairy vetch due to physical dormancy resulting from hard seed causing persistent seed banks.
My graduate work is focused on quantifying the soil persistence of hairy vetch in order to determine how long seed maintains viability in the field and the extent that it can become a weed.  I am also evaluating organic and conventional management options for selective control of hairy vetch in winter wheat. Experiments were conducted at the Penn State Agronomy Farm and a USDA facility in Beltsville, MD.
A seed viability study was established to quantify seedling emergence and soil seed bank persistence of hairy vetch over time as influenced by soil burial depth, seed cultivar and mechanical seed scarification. Seed scarification entails knicking the seed coat of a hard seed in order for it to take up water and germinate. This seed burial study was initiated fall of 2009 when 500 seeds of three hairy vetch cultivars (Albert Lea, Groff, Nebraska) were placed at two burial depths (3 and 15 cm) with a mechanical scarification treatment (scarified vs. non-scarified). Samples were dug up every six months for 18 months to determine how much of the planted seed was still viable over time. Mechanically scarified treatments contained no viable seed after six months at both locations while non-scarified treatments had a maximum of 7.9% hard seed. Nearly all observed vetch emergence occurred within six months. Seed at the 15 cm depth decreased in total emergence by 24% and showed a small increase in seed bank persistence (max. 2.4%) compared to the 3 cm depth. Mechanical scarification of hairy vetch prior to planting has potential to be used as a preemptive weed management tactic to eliminate hard seed without lowering emergence.  
In order to evaluate different tactics for selective control of hairy vetch weeds in a wheat crop, a study was established where hairy vetch was planted with winter wheat in the fall of 2009. Organic management tactics examined timing (fall vs. spring) and rate of application of three potential organic herbicides and propane flaming. Treatments included acetic acid (vinegar), ammonium nonanoate (Racer™), lemon grass oil (GreenMatch™) and propane flaming applied at two rates. Several conventional herbicides labeled in wheat applied in the fall and spring were also evaluated. In the conventional study, fall treatments were generally less effective than spring. Fall applied clopyralid and spring treatments of dicamba, dicamba + 2,4-D, tribenuron, mesosulfuron, pyroxsulam, and clopyralid provided the most consistent control. Most of the organic treatments did not effectively control hairy vetch. The high rate of flaming in the fall was the most effective and consistent tactic. Mechanical tine weeding in the fall was also examined and not found to effectively kill hairy vetch.

Friday, June 3, 2011

Artisan Wheat – Taste the Difference

By Charlie White, Sustainable Agriculture Extension Associate

Food culture is on the rise in the United States and consumer demand for food that is fresher, healthier, and most of all, tastes better, is stronger than ever.  At the beginning of this food revolution baked goods did not see quite the same level of interest as cheese, charcuterie, and heirloom tomatoes did.  But that has changed, and now there is strong interest in heritage and specialty grains, freshly milled flours, and artisan baked goods.  Here are a few tips about getting started with artisan wheat, gleaned from the experience of myself and colleagues around the Northeast.


A local loaf, crafted from 1/3 whole wheat flour, freshly milled from wheat grown in PSU’s 2010 variety trial, and 2/3 white spelt flour from Small Valley Milling in Halifax, PA.

Make the most of what you have.  Pennsylvania farmers have traditionally found soft red winter wheat best suited to the local agronomic and market conditions.  While soft wheat doesn’t make a great bread flour, it is well suited to other uses in the home and bakery such as flour for pancakes and biscuits.  My family has spent countless weekend mornings devouring pancakes, waffles, and biscuits made from freshly milled wheat obtained from the Penn State variety trials and local farmers.  You wouldn’t imagine it, but Greg Roth has perfected the recipe for a peanut butter cookie made from hulless barley flour.  And the Weatherbury Farm Bed and Breakfast in Avella, PA serves oatmeal made from freshly rolled oats grown on their farm.  These are just a few examples of how the crops traditionally grown in Pennsylvania can be utilized to meet consumer interests.

Try an artisan variety.  Not all wheat varieties taste the same, according to panels of bakers and consumers throughout the Northeast who have conducted taste tests of numerous wheat varieties.  Many of the more flavorful varieties seem to be heirlooms.  In a Vermont taste test, preliminary survey data suggested that Ladoga, a spring wheat variety developed in Russia in 1916, was the most favored variety.  Red Fife, a 19th century heirloom revived from Canada in recent years is reputed to have exceptional flavor and performed well in trials in Pennsylvania and New York.  We included the variety Frederick in this year’s PSU winter wheat variety trial based on the suggestion of Mary-Howell Martens of Lakeview Organic Grain.  Frederick is a soft white winter wheat that produces a whole wheat flour that is lighter in color and milder in flavor than red wheat.  We’ll let you know how Frederick mills up later this summer.

Use it freshly milled.  To appreciate the true flavor of wheat, use whole wheat flour when it is freshly milled.  Whole wheat flour contains the bran and the germ of the wheat kernel, which are valuable sources of fiber, vitamins, minerals, and flavor.  The germ also contains a small amount of fat which will turn rancid if stored at room temperature for more than a few weeks after milling.  This is why many whole wheat flours purchased off the grocery store shelf can result in a slightly bitter finished product.  Some farmers and mills, like White Frost Farm in Danville, PA and Farmer Ground Flour in Trumansburg, NY sell freshly milled flour direct to consumers.  You can also invest in a family-scale grain mill and source grain directly from a local farmer.  The Country Living grain mill I own is made of cast iron, has replaceable steel burrs, and hopefully will be passed down through many generations.  Originally it was hand cranked, but a few years ago I built a cabinet for it that houses a ¾ horsepower electric motor and belt drives.  There are also countertop grain mills with an integral motor and plastic housing that are slightly less expensive.

Penn State plans to expand it’s testing of artisan and heirloom grain varieties under organic management this fall, in collaboration with colleagues in New York and North Dakota.  Also, on September 16th, Penn State’s Sustainable Agriculture Working Group will be hosting Thor Oechsner, a partner in Farmer Ground Flour, as a seminar speaker to learn more about the production and marketing of organic specialty grains.  Stay tuned to this blog for more information about our work in this area.

Resources on artisan grains:
Northeast Organic Wheat Project- http://www.growseed.org/now.html
Northern New England Local Bread Wheat Project- http://sites.google.com/site/localbreadwheatproject/
Organic Growers’ Research and Information-Sharing Network – http://www.ogrin.org/

Thursday, June 2, 2011

Artisan Wheat Trial

From Matt Ryan, Penn State Crop and Soil Sciences

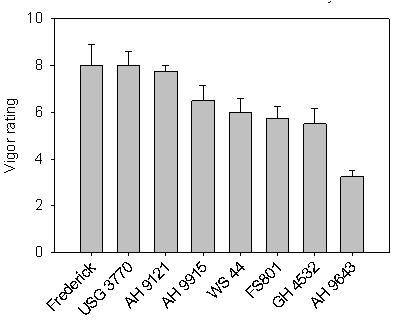
Over the past several years, interest in local food has prompted many bakeries in the northeast to find locally grown wheat flour for baking.  Many famers in Pennsylvania already grow soft red winter wheat, which is high is starch and is good for pastry flour and making pretzels.  However, hard red wheat is high in protein and gluten, and is considered to be better for bread flour.  According to Elizabeth Dyck at Cornell University, locally-grown organic hard red wheat can sell from between $12/bu up to $2/lb depending on the quality and market.  Being interested in the seemingly lucrative opportunities associated with non-traditional wheat production, we initiated a variety trial to test some different varieties of wheat to see how they compare to conventional varieties.  This year, we are testing seven varieties of soft winter wheat, three of which are organic.  One of the varieties is a soft white winter wheat (Frederick).  Varieties being tested are listed below.  

  1. Frederick – organic soft white (Lakeview Organic Grain)
  2. USG 3770 – untreated conventional soft red (UniSouth Genetics)
  3. AH 9121– untreated conventional soft red (American Hybrids)
  4. AH 9915 – untreated conventional soft red (American Hybrids)
  5. WS 44 – organic soft red (Welter)
  6. FS801 – conventional soft red (Growmark)
  7. GH 4532 – organic soft red (Great Harvest)
  8. AH 9643 – untreated conventional soft red (American Hybrids)

Wheat was sown on October 11, 2010 at the Russell E. Larson Agricultural Research farm by Mark Antle and Dave Sandy.  Crop vigor was evaluated on May 5, 2011 using a visual rating scale (1 = poor stand and 10 = excellent stand). 


Winter Wheat Variety Trial Update

Another feature of our small grain tour is our winter wheat variety trial.  This year we are testing 62 commercial and University varieties.  Most of the wheat lines headed out May 28 to May 30 and were flowering around June 1 and 2. This was ideal from a head scab perspective since most of the wet weather had passed on by then.  Foliar diseases in the varieites were generally low with only a small amount of powedery mildew and stagonospora evident in the lower canopy.  Fall development of the trial was slow and we applied 50 units of N as UAN in mid March to stimulate tiller development.  We followed with another 50 units in April for a total of 100 pounds of N in the spring.  This is the highest rate of N we have applied to the trial, and are watching the trial for lodging issues.  The wheat is standing fine at this point and has good color.

Wednesday, June 1, 2011

Hulless barley

One of the new potential uses of hulless barley is as a component of poultry rations.   This new hulless barley grain bin on a layer operation in central PA I visited last month is evidence of its growing adoption.  Hulless barley allows these producers to grow some of their feed needs and diversify their cropping systems.  Because barley is harvested in mid-late June, it provides local growers with a double cropping option that might not be available with wheat production.